Concurs per a la redacció d'un avantprojecte per a l'ampliació de l'IES Josep M. Quadrado a Ciutadella- Institut Balear d'Infraestructures i Serveis Educatius i Culturals, IBISEC.
N. Circular: 17 / 05
Data Circular: 18/07/2005
N. Notícia: 3222
Data Notícia: 07/07/2005
Subtema: Concursos
El BOIB núm. 102 de 07.07.05 publica anunci de la Conselleria d'Educació i Cultura convocant concurs per a la redacció d'un avantprojecte per a l'ampliació de l'IES Josep Mª Quadrat de Ciutadella, a través de l'Institut Balear d'Infraestructures i Serveis Educatius i Culturals, IBISEC.
- Objecte del concurs: redacció d'un avantprojecte per a l'ampliació de l'IES Josep M. Quadrado de Ciutadella, mitjançant concurs per procediment obert, de fase única i amb intervenció de jurat
- Organisme convocant: L'Institut Balear d'Infraestructures i Serveis d'Educació i Cultura del Govern de les Illes Balears, IBISEC.
- Col·laboració tècnica: L'IBISEC compta amb la col·laboració tècnica del Col·legi Oficial d'Arquitectes de les Illes Balears, COAIB.
- Concursants: Podran participar en el concurs tots els arquitectes col·legiats en qualsevol Col·legi d'Arquitectes d'Espanya en el moment de la presentació de la seva proposta. Podran presentar-se individualment o en equip.
- Jurat:
President: el Conseller d'Educació i Cultura del Govern de les Illes Balears
Vicepresident: el Gerent de l'IBISEC
Vocals:
El Batle de l'Ajuntament de Ciutadella
El Cap del Servei de Supervisió i Control d'Obres de la Conselleria d'Educació i Cultura del Govern de les Illes Balears
El Cap de Secció de Projectes de la Conselleria d'Educació i Cultura del Govern de les Illes Balears
El Degà del COAIB
Un arquitecte de reconegut prestigi a escala autonòmica designat pel COAIB
Dos arquitectes de reconegut prestigi a escala nacional designats pel COAIB
Actuarà com Secretari, el Cap de Secció del Servei de Control i Supervisió d'Obres de la Conselleria, amb veu però sense vot
- Terminis:
L'IBISEC ha publicat la convocatòria en el BOIB de data 07.07.05. No hi ha inscripció prèvia.
Presentació dels treballs: En el termini màxim de 70 dies naturals comptats a partir de l'endemà a la publicació de l'anunci en el BOIB, o sigui, abans de les 14 hores del dia 15 de Setembre de 2005.
- Premis:
Un primer premi de 24.000 euros, Iva inclòs, pel treball guanyador, a compte dels honoraris del projecte
Un segon premi de 3.000 euros, Iva inclòs, a càrrec de l'IBISEC i un tercer premi de 2.000 euros, a càrrec del COAIB.
- Bases i documentació: Les bases i la documentació tècnica es poden obtenir en www.coaib.es
Per a més informació poden dirigir-se a :
IBISEC
c/ Capitá Salom 29, 3er - 07004 Palma de Mallorca
Tel.: 971 78 47 04 - Fax: 971 17 71 94
Correu electrònic: nuriauriarte@ibisec.caib.es
Persona de contacte: Guillem Quetglas i Nerea Uriarte (Arquitectes)
Annexes
- Bases catala
- Bases castella
- Equipament
- Programa Necessitats-catala
- Programa Necessitats-castella
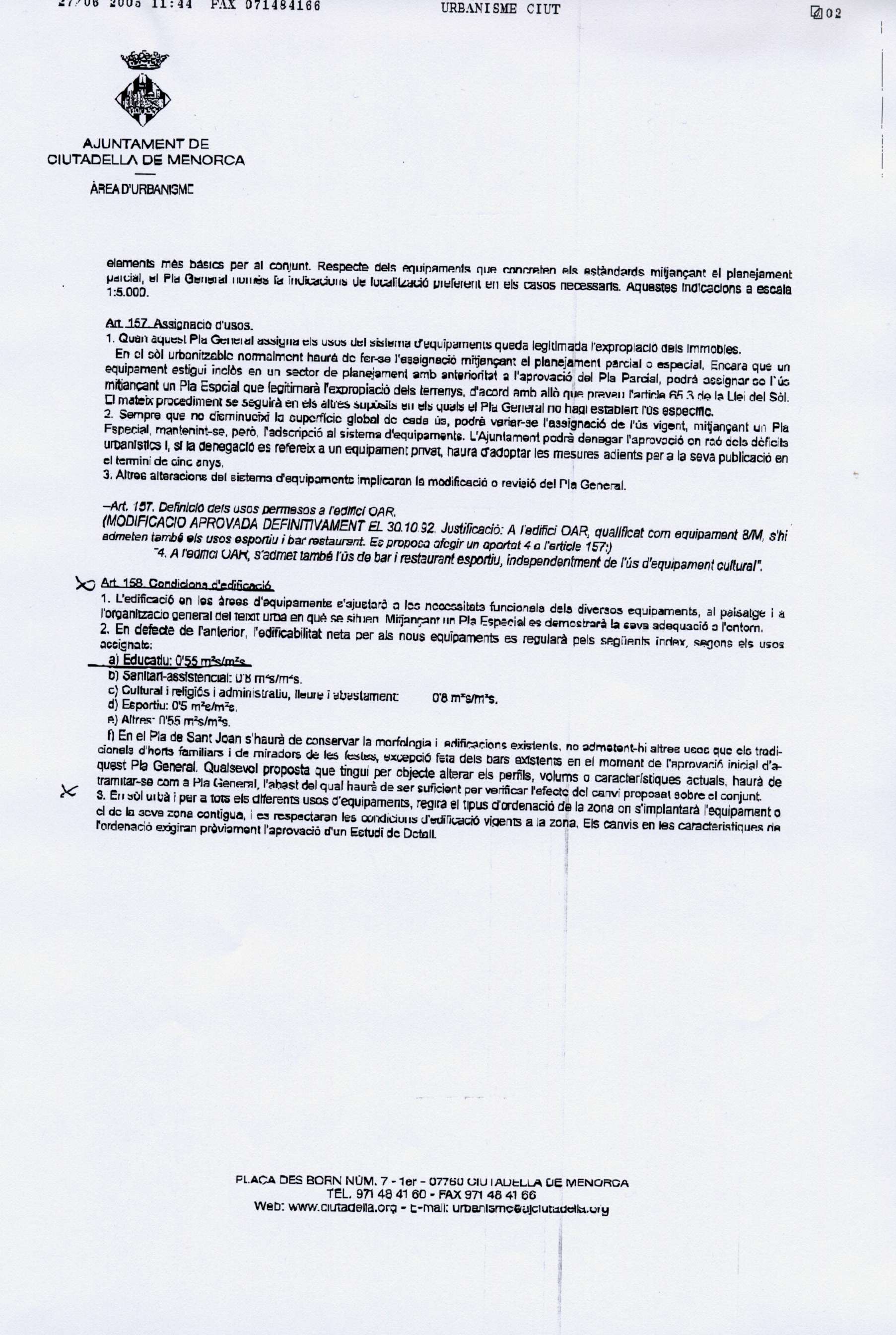
- Norma urbanistica-1
- Norma urbanistica-2
- Norma urbanistica-3
- Norma urbanistica-4
- Norma urbanistica-5
- Norma urbanistica-6
- Norma urbanistica-7
- Norma urbanistica-8
- Norma urbanistica-9
- Planol urbanistic
- Fotos 1
- Fotos 2
- Fotos 3
- Planols (topografic i altres)